Abstract
[Background]
Macrophages are known to play a crucial role in chronic graft-versus-host disease (cGVHD). Recent studies revealed that increased expression and secretion of Galectine-3 (GAL3) were associated with macrophage activation and fibrosis, and Mac 2-Binding Protein (M2BP), which was known as GAL3 ligand, induced the secretion of IL-1, IL-6, and other cytokines by monocytes and macrophages. Meanwhile, Mac 2-Binding Protein Glycan Isomer (M2BPGi) has been developed as a reliable biomarker of liver fibrosis through glycoproteomic biomarker screening using lectin microarray technologies. We hypothesized that GAL3, M2BP, or M2BPGi could be associated with cGVHD and non-relapse mortality (NRM) in allogeneic hematopoietic cell transplant (HCT) recipients.
[Patients & Methods]
Patients gave written consent allowing blood sample collection. We retrospectively reviewed the medical records of consecutive adult patients who underwent their first allogenic HSCT at our center from January 2010 to December 2016. The plasma levels around day +180 were measured in 110 patients who survived for >180 days without disease relapse after allogeneic HCT, and the predictive potential of 3 markers for NRM was assessed using the discovery (n=55) and validation (n=55) cohorts. Samples were obtained at a median of 178 days (range, 133 to 274 days) after HCT. Among the 110 patients in total, the median age at HCT was 47 years (range 18 to 66 years). GVHD prophylaxis consisted of calcineurin inhibitors and short-term methotrexate. In vivo T-cell depletion with anti-thymocyte globulin or alemtuzumab was performed in HCT for aplastic anemia or HLA mismatched HCT.
[Results]
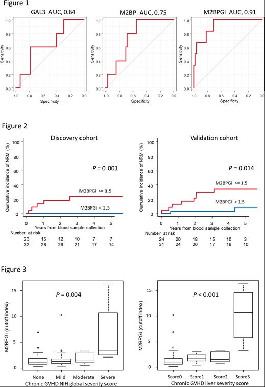
In the discovery cohort, receiver operating characteristics curve analysis showed that the best cutoff of GAL3, M2BP and M2BPGi at day +180 was 18, 70 and 1.5 with an area under the curve of 0.64, 0.75, and 0.91, respectively (Figure 1). Using this threshold, elevated M2BP and M2BPGi were significantly associated with higher NRM (M2BP; 15.0% vs. 0.0% at 5 years, P = 0.038, and M2BPGi; 15.0% vs. 0.0% at 5 years, P = 0.001). In the validation cohort, although M2BP was not significantly associated with NRM (29.8% vs. 13.4% at 5 years, P = 0.101), the adverse impact of M2BPGi on NRM was confirmed (34.0% vs. 8.4% at 5 years, P = 0.014) (Figure 2). The median sample collection timing was 179 days (range, 167 to 266 days) after HCT in the higher M2BPGi group compared with 178 days (range, 133 to 274 days) after HCT in the lower M2BPGi group (P = 0.620).
On the other hand, M2BPGi was not increased in healthy individuals (n = 20) nor in patients who received autologous HCT (n = 11). Samples were collected at similar times around day +180 after autologous HCT. These results suggested that increased M2BPGi might be involved in the network in allogenic immune responses.
In the entire cohort (n=110), M2BPGi was well related to liver involvement of cGVHD, while there was no association with other organ involvement. At day +180, increased M2BPGi was also correlated with higher cGVHD NIH global severity score (P = 0.004) as well as liver severity score (P < 0.001) (Figure 3), and lower platelet counts (P = 0.005). Multivariate analysis including cGVHD NIH global severity score, liver severity score and platelet counts at day +180 demonstrated that increased M2BPGi at day +180 was an independent risk factor for NRM (HR, 1.27; P < 0.001).
Next, we determined the impact of M2BPGi on other time points. In earlier time point at day +90, NRM did not differ significantly according to M2BPGi in the validation cohort (the discovery cohort; 20.9% vs. 2.9% at 5 years, P = 0.016, and the validation cohort; 22.7% vs. 8.5% at 5 years, P = 0.690). In contrast, high M2BPGi at day +365 remained the significant risk factor for NRM in both cohorts (the discovery cohort; 17.6% vs. 0.0% at 5 years, P = 0.007, and the validation cohort; 40.8% vs. 6.1% at 5 years, P = 0.008). Because an increase in M2BPGi early after HCT can be caused by various reasons other than cGVHD, such as acute liver GVHD, thrombotic microangiopathy and drug exposure, its implications might be different from that during later period.
[Conclusion]
In conclusion, M2BPGi was a powerful predictor for late NRM after HCT. Further studies are required to determine the mechanism of elevations in M2BPGi after HCT. Importantly, this study indicated that the novel glycan profiling technologies might help to identify the potential biomarkers for GVHD in near future.
Nakasone:Phizer: Honoraria; Novartis: Honoraria; Kyowa Hakko Kirin: Honoraria; Celgene: Honoraria; Bristol-Myers Squibb: Honoraria; Janssen: Honoraria; Takeda: Honoraria. Kimura:Astellas: Honoraria; Pfizer: Honoraria; Sumitomo Dainippon Pharma: Honoraria; MSD: Other: Investigator in the institute; Nippon Kayaku: Honoraria; Celgene: Honoraria; Kyowa Hakko Kirin: Honoraria; Takeda: Honoraria. Kako:Takeda Pharmaceutical Company Limited.: Honoraria; Takeda Pharmaceutical Company Limited.: Honoraria; Celgene K.K.: Honoraria; Bristol-Myers Squibb: Honoraria; Sumitomo Dainippon Pharma Co., Ltd.: Honoraria; Chugai Pharmaceutical Co., Ltd.: Honoraria; Otsuka Pharmaceutical Co., Ltd.: Honoraria; Ono Pharmaceutical Co., Ltd.: Honoraria; Janssen Pharmaceutical K.K.: Honoraria. Kanda:Dainippon-Sumitomo: Consultancy, Honoraria, Research Funding; Pfizer: Research Funding; MSD: Research Funding; Ono: Consultancy, Honoraria, Research Funding; Taisho-Toyama: Research Funding; CSL Behring: Research Funding; Kyowa-Hakko Kirin: Consultancy, Honoraria, Research Funding; Astellas: Consultancy, Honoraria, Research Funding; Tanabe-Mitsubishi: Research Funding; Taiho: Research Funding; Sanofi: Research Funding; Otsuka: Research Funding; Nippon-Shinyaku: Research Funding; Asahi-Kasei: Research Funding; Takeda: Consultancy, Honoraria, Research Funding; Novartis: Research Funding; Eisai: Consultancy, Honoraria, Research Funding; Shionogi: Consultancy, Honoraria, Research Funding; Chugai: Consultancy, Honoraria, Research Funding; Bristol-Myers Squibb: Consultancy, Honoraria; Celgene: Consultancy, Honoraria; Mochida: Consultancy, Honoraria; Alexion: Consultancy, Honoraria; Takara-bio: Consultancy, Honoraria.
Author notes
Asterisk with author names denotes non-ASH members.
